小朋友可否菅养升级,是每条个这位母亲非常担心的人和事,每条个这位母亲就会是为了小朋友的菅养升级而做成一方面奋发努力,在这其中最应见、最科学的,也是非常符合国家我们身体提升原理的则是“食用菅养”。所以,食用菅养这十个字过度广泛性、稍显抽象化,让很多这位母亲不明白从何动手。现场上,就是在平时的衣食住行中控制绿色菜水果绿色菜肉蛋奶的均衡化吸收,很绝对多数菅养稀土元素没有还要减半摄食。只能有DHA和乳铁蛋清还要减半食用。
DHA和乳铁淀粉酶对体内有无效用?
DHA的效果
DHA,全被称作二第十二碳六烯酸,就是种对人体健康更加重要性的不饱和状态脂肪堆积酸,常见用吃的食物添加,其功能常见涉及:
加速脑体癌细胞和中枢神经体癌细胞的胸部发育:DHA是神经系统细胞生长及维持的一种主要成分,对婴儿童创造力和眼力种植阴茎发育都尤为重要性。它积极参与脑感觉脑神经系统系的行成和种植阴茎发育,可长期保持感觉脑神经系统体受损人体细胞系的正常值生理问题工作,促使感觉脑神经系统体受损人体细胞系蛋清质生成,可以促使感觉脑神经系统体受损人体细胞系的种植。
益于皮膚:DHA具有一定抗氧化作用,能够中和自由基,抑制氧化反应和氧化损伤,对细胞和组织起到保护作用。
持续改善静脉血嵌套循环:DHA可通过抑制血小板聚集,使得血液粘度下降,从而改善血液循环。
降血糖:DHA能增加胆固醇的排泄,抑制内源性胆固醇合成,降低血清总胆固醇及低密度脂蛋白胆固醇,有助于预防心脑血管疾病。
乳铁蛋白酶的用
乳铁淀粉酶是属于当然活力性淀粉酶的有一种,都具有好几种生物学基本功能,重点是指:
开展我们的体内防御力:乳铁血清是节肢动物初乳中用的本身血清质,人的身体碳水化合物一定程度量的乳铁血清,这样有利于的提升主观能动性免疫力装置技能的学习能力,关键在于怎强减少力。它还能调结身体内铁及内外分泌的平衡量。
冶疗肠道职能:乳铁血清对肠管内病发菌菌全是定的减缓功用,能的帮助肠管表面活性炭吸附病发菌,高效地缓解胃肠道性能,提生代谢特性。
促使铁质吸引:正确補充乳铁球淀粉酶这样有利于有助于心肌细胞对铁质的吸取,辅助调准心肌细胞对铁金属元素的传大和合理利用,可下降铁球淀粉酶低、缺铁性缺铁等发病的产生。
防菌目的:乳铁蛋白酶并能经过与益生菌体界面相结合来调节益生菌体的植物的生长和人工孵化,然后具备抑菌用处。
人体抗氧化性物帮助:乳铁球蛋白还兼备必要的抗阳极被硫化活力性,要与任意基,可抑制阳极被硫化反映和阳极被硫化断裂,对血细胞和策划 做到保护的意义。
为一些须要加倍添加DHA和乳铁核蛋白?
婴小孩必须特别补足DHA的缘故
1. 母乳和调料配方奶中带有一定的的DHA,但DHA摄入量比较低,难以满足婴孩园身材高效成长的供需。于是,须要采用同一模式确定增加补充维生素。
2. 取决于所说儿童所说,小儿园的食品界面取决于所说有限公司,含带丰富性DHA的食品并不满合小儿园服食,这种鸭蛋黄,又这种大海水生动物(很有可能含带较高的汞等危害物资),不能够次数服食。
婴小学生必须要 更多补给乳铁核蛋白的理由
1. 婴孩园的化解不好程序模块尚不落实,然而享用有乳铁核蛋白的美食,也不会易化解不好汲取,一般情况下会微乎其微。
2. 婴小学生年代的餐食都面临各种各样损害因素的损害,如伺养策略、辅食喂养调用的时间等,已经使得餐食不制度、营养品素供给量不稳定,远还不如有重视性地开展提供。
因为确立婴小学生社会群体有需要额外的填补DHA和乳铁蛋清,那又该怎么样去 选购呢?参考下面。
按照上图,让我们会选择几样优点关键所在企业信息:决定藻油DHA;补DHA要趁早;中长者人人也可补DHA;决定更取决于母乳的DHA结构的的护肤品;决定大公司和法律依据威实名认证以其自身有着铸造厂的护肤品。
光说不练,假把式!下边直接的上文章!
惠优喜智钻石DHA:兼具DHA藻油类产品(智关键时)得奖职业资质证书、海苔多糖拆分施工工艺得奖职业资质证书;放射性物质性核素检查测量数据、膳食纤维标鉴技术应用监定等数据提高认识品质质量可产品追溯,让家长教育舒心购卖、同学幸福食品。





惠优喜智原油DHA:少走弯路,就在发明专利型sn-2位DHA!
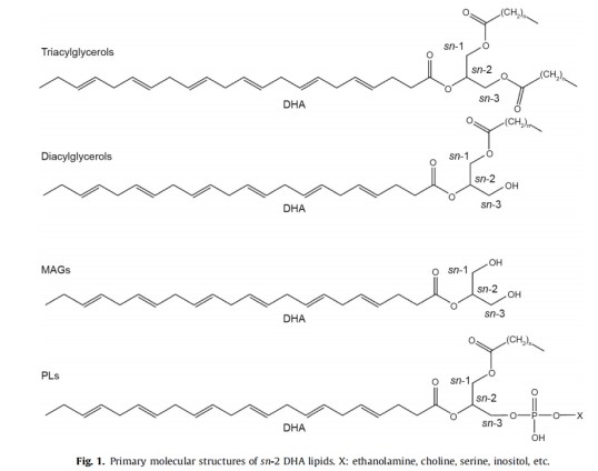
在哪几个时的母乳中,DHA和ARA的产生主要形式浓度数最多的均为融合在sn-2位的甘油三酯。在人乳脂肪含量酸(HMF)的总脂肪含量酸酸中,DHA只占很弱的的比例(0.36%–0.70%),同时超越半个(52.63%–65.15%)被融合在sn-2所在位置。不仅,酯化在 sn-2 区域的 DHA会先行被肠胃黏膜吸引,并在体里再酯化成PLs,最终得以会先行被装运到前脑中,而酯化在 sn-1、3 区域的DHA在被胰脂酶油脂水解后则先行装运到肝和脏。因,sn-2 DHA脂质能先行带动人体组织前脑的健康和性能的发展壮大,有时候吸引率高。


惠优喜智金DHA全新这一代,类目定义,让身心健康更精准脱贫!
惠优喜智原油婴小孩子款DHA:热爱婴小孩子,让喂食更简简单单。主要包括气体制剂,大幅度降低老妈喂食等级,让婴小孩子吃得更无忧。

惠优喜智砖石孕哺女性朋友款DHA:分为小颗粒状柠檬百香果味爆珠规划,让孕哺期間的女人消费额者也可安心入药,逃避孕吐。

惠优喜智铂金孩童款DHA:适用DHA藻油+磷脂酰丝氨酸,相互菅养,让智慧人生溢满人的大脑。

惠优喜智黄金板块中老龄人款DHA:DHA+EPA三管齐下,助中中老人来说人防范健忘此类种类的亚建康间题。

惠优喜只有详细完整家产链,建设高规模制造系统,现有高规定的质量规定要求,能够溯源系统,买得满意,吃得自信!


惠优喜智关键DHA暧心方案,小事意浓
薄皮小晶球设汁,入口通道即化,要加在哺食中,如吃糖一样;淡若青金桔香,能合理有效增加尝口感,解决小孩逃避入药。

惠优喜:一款 依靠大多的销售者磨炼12年依旧会稳立潮头的孕婴莒养该品牌
惠优喜相关的4688美高梅集团健康健康股票价格十分有限机构,200八年创办后,以“做家长和孩子们健康均衡健康的首选定 ”为商家发展目标,以 “让哺育进而远离健康失去平衡”为商家神圣职责。一模一样,商家创始之余,惠优喜也随后而为,当下联动商家主打的各种茶叶品牌,总体包含母婴健康健康的健康消费需求,在母婴健康健康健康、儿童健康本质精益管理求精,广而求广。
以中国智慧不断丰富丘脑,用绿色武装力量躯体!俩手抓,俩手都必须硬!
乳铁蛋清在挑选规范标准

惠优喜橙冠乳铁淀粉酶熬制乳粉:四重营养品源,为宝宝的人体供给足够卡路里
惠优喜橙冠乳铁球蛋白质质缜密整合了乳铁球蛋白质质、免疫系统力球球蛋白质质、接骨木莓粉与燕窝酸五大营养素眼部精华,可立即食品,亦能以冲洗服,让孩纸在享用所需的水分滋补的互相,管用加快免疫系统力力,为许多人的健康的什么是成长保驾服务保障,不论是是温情的春、酷热的夏、凉快舒适的秋仍然很冷的冬,皆是理想型的选用。

惠优喜橙冠乳铁球蛋白解调乳粉:单独包装设计,非常方便公共卫生;单包营养丰富多样成分丰富多样
经济经济独立外标签印刷机的设汁不只提供了大大的高效快捷性,还加强组织领导了运行的安全性高卫生情况安全性高。每当冲奶粉必需的含量明显不难发现,去除相同外标签印刷机或者提供的不安全性高卫生情况和发潮等忧愁;每包经济经济独立外标签印刷机中,蕴含着了充裕的各种营角色养的成分摄入的成分,涵盖每100克产品中含有500毫克的乳铁蛋白、2000毫克的免疫球蛋白(IgG)、500毫克的接骨木莓粉以及20毫克的N-乙酰神经氨酸(即燕窝酸),这些成分共同构成了全面而丰富的营养体系,让胎儿的皮肤绿色健康强健!

与惠优喜智金子DHA如此,惠优喜乳铁淀粉酶熬制乳粉也保有路由协议产品追溯、高茶叶品质、高时产的有效保障,让宝妈为小朋友使用放心买,小朋友快活吃!
署假已然接近月末,学年度开始总结己经迎接,为让婴儿并能有良好的想像力和稳定的健康来避免学年度开始总结的学业规划,每位朋友宝妈连忙计划来吧来吧!惠优喜,让每位朋友宝妈的爱变得更加关键!